티스토리 뷰
순환하지 않는 유향 그래프를 방향성에 거스르지 않도록 순서대로 배열하는 방법
말 그대로 순환하지 않는 유향 그래프에서 순서가 정해져 있을 때 그 순서대로 방문을 하고 싶을 때 사용할 수 있는 알고리즘이다.
그림을 통해서 예시를 하나 들어보겠다.
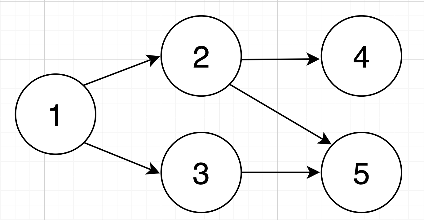
만약 아래와 같은 그래프가 있다고 가정해 보자

처음으로 진입점이 존재하지 않는 1부터 시작해 보자. (1을 큐에 넣는다)

현재 큐에는 1만 있으므로 큐에서 1을 꺼내면 1이 가리키고 있는 2, 3이 후보가 된다. 2, 3 모두 앞의 순서가 1밖에 없다.
그러므로 2, 3 모두 방문이 가능하므로 큐에 2, 3을 넣는다.

다시 큐에서 2를 꺼내 2가 가리키고 있는 4, 5에 대해서 확인해 보면 5는 2 이외에도 3이 앞 순서로 있기 때문에 현재 작업할 수 없는 상태이다. 따라서 작업이 가능한 4만 큐에 넣는다.

다시 큐에서 3을 꺼내면 3이 가리키고 5가 더 이상 앞 순서가 없으므로 큐에 5를 넣는다.

이제 큐에 남은 값들을 처리해 주면 모든 그래프에 대해서 방문이 끝났다.
따라서 최종 결괏값은 1 -> 2 -> 3-> 4 -> 5 이다.
ref
'알고리즘 > 이론' 카테고리의 다른 글
| 플러드 필(flood fill) (0) | 2022.06.21 |
|---|---|
| 백트래킹 (0) | 2020.09.16 |
댓글
공지사항
최근에 올라온 글
최근에 달린 댓글
- Total
- Today
- Yesterday
링크
